更新时间:2022-09-21 提供商:网龙网络公司 下载类型:免费下载
文件大小:0.64 MB
标签: 网龙、 科学、 正规教育、 小学、 教育科学出版社(教科版义务教育版)、 四年级、 K12、 上册
0 0
【精准教学】语文部编版6年级上册第2单元★★★★题库
【精准教学】语文部编版6年级上册第1单元★★★题库
【单元专题卷】语文部编版8年级上册第1单元01 积累与应用
【重难点闯关】英语人教PEP版6年级上册Unit 1
【重难点闯关】英语人教PEP版5年级上册Unit 2
【重难点闯关】英语人教PEP版4年级上册Unit 2
【精准教学】英语人教PEP版6年级上册Unit 2★★★题库
【精准教学】英语人教PEP版6年级上册Unit 1★★★题库
与好友共享丰富的
教育资讯与资源
扫码入群 更多优质资源抢先领!
关注微信公众号获取更多教学技巧
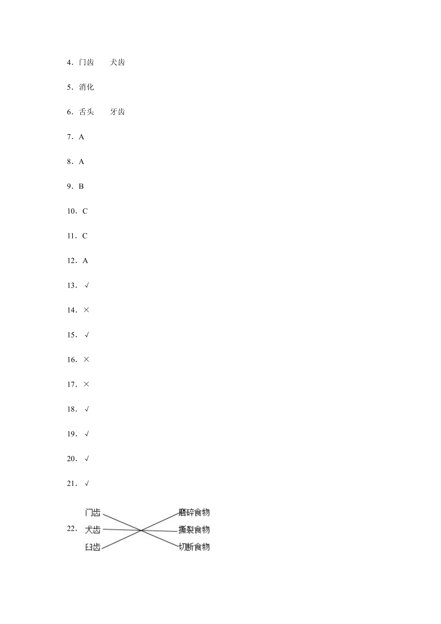
抖音扫码关注解锁课堂黑科技