学案

1.4.3 正切函数的性质与图象(第2课时)(特色班教学设计)

更新时间:2021-05-26 提供商:网龙网络公司 下载类型:免费下载

文件大小:0.13 MB 文件类型:DOC

标签: 人民教育出版社(人教版A版)、 正规教育、 1级、 广州数字教育城、 学案、 文档、 必修4、 K12、 学案、 ZYK、 基础学科、 文档、 素材类型、 微软doc文件、 学习资源、 高中、 ZYKB、 知识点资源类型、 数学

一键领取课件

课件介绍

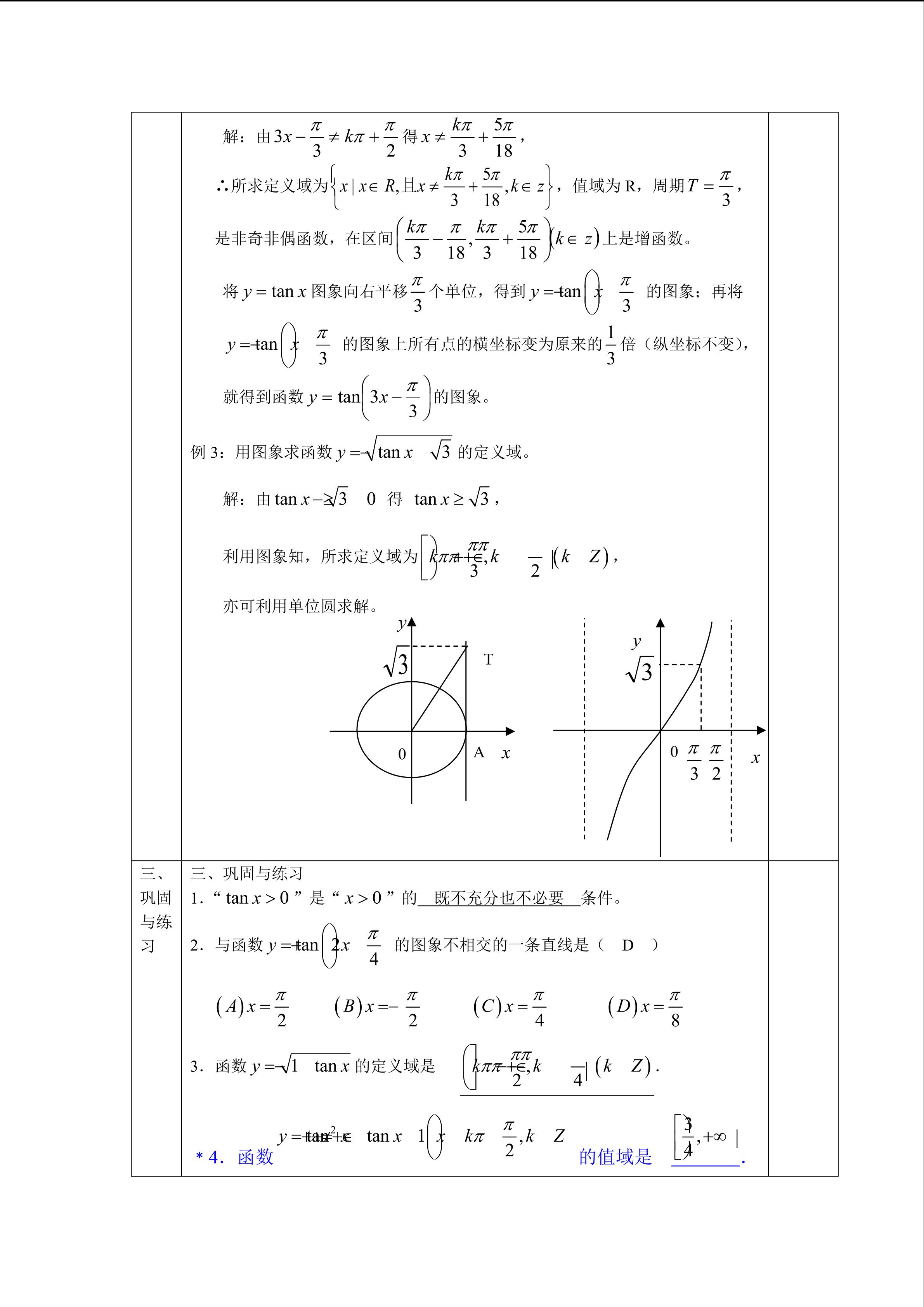
这是一套关于《1.4.3 正切函数的性质与图象(第2课时)(特色班教学设计)》的素材,格式为DOC,文件大小为0.13 MB,页数为3页,请使用101教育PPT软件打开使用;

正切函数的性质与图象(第2课时)(特色班教学设计).

如认为平台内容涉嫌侵权,可通过邮件:101ppt@101.com 提出书面通知,我们将及时处理。

相关资源推荐

找名师

产品下载

注冊
无法打开
您还未安装软件
前往下载