更新时间:2020-12-20 提供商:网龙网络公司 下载类型:免费下载
文件大小:0.19 MB 文件类型:DOC
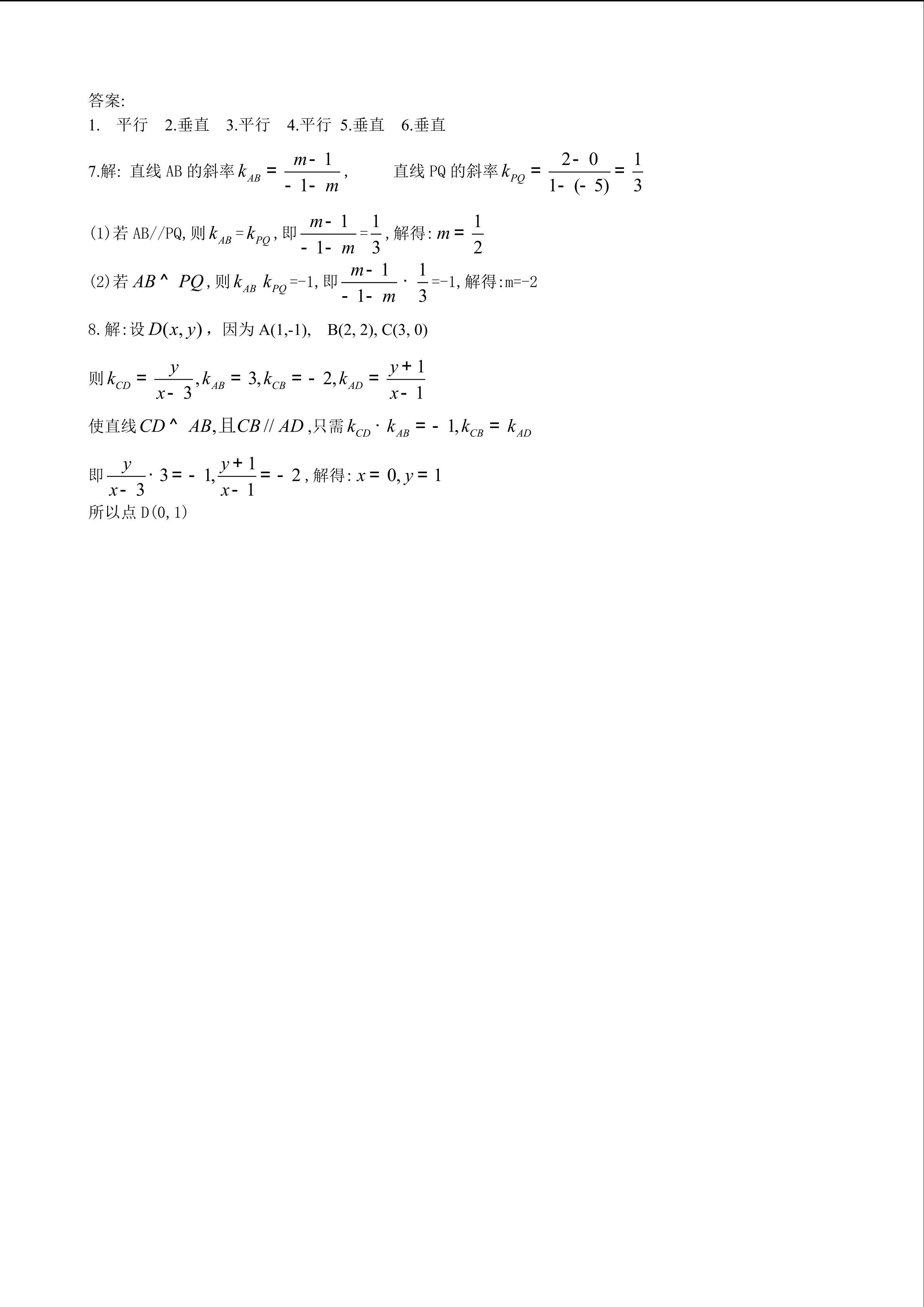
标签: 人民教育出版社(人教版A版)、 正规教育、 1级、 广州数字教育城、 学案、 文档、 K12、 学案、 ZYK、 文档、 素材类型、 微软doc文件、 学习资源、 高中、 ZYKB、 数学、 必修2
0 0
人教版初中物理八年级下册 第3节 机械效率
8年级历史部编版下册学案《第18课 科技文化成就》
8年级物理苏科版下册学案《10.5 物体的浮与沉》
8年级物理苏科版下册学案《10.4 浮力》
8年级物理苏科版下册学案《10.1 压强》
8年级物理苏科版下册学案《9.3 力与运动的关系》
8年级物理苏科版下册学案《9.2 牛顿第一定律》
8年级物理苏科版下册学案《9.1 二力平衡》
与好友共享丰富的
教育资讯与资源
扫码入群 更多优质资源抢先领!
关注微信公众号获取更多教学技巧
抖音扫码关注解锁课堂黑科技