8年级上册数学人教版课件《15.2.3 整数指数幂》(共19张PPT)

更新时间:2021-12-13 提供商:网龙网络公司 下载类型:免费下载

文件大小:0.77 MB 分辨率:960*540 文件类型:PPTX

标签: 网龙、 优选、 课件、 正规教育、 高效备授课、 文档、 K12、 初中、 ZYK、 素材类型、 八年级、 人民教育出版社(人教版)、 ZYKB、 上册、 数学

一键领取课件

课件介绍

这是一套关于《8年级上册数学人教版课件《15.2.3 整数指数幂》(共19张PPT)》的素材,格式为PPTX,文件大小为0.77 MB,页数为19页,请使用101教育PPT软件打开使用;

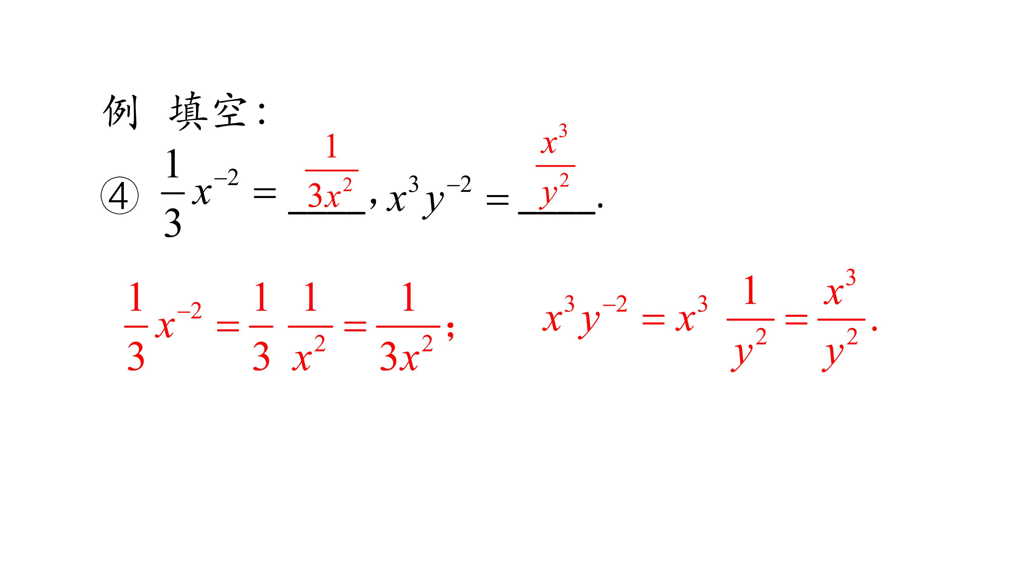
整数指数幂

复习回顾

正整数指数幂:

当n是正整数时,

<个

复习回顾

正整数指数幂的运算性质:

当 时

复习回顾

如认为平台内容涉嫌侵权,可通过邮件:101ppt@101.com 提出书面通知,我们将及时处理。

相关资源推荐

找名师

产品下载

注冊
无法打开
您还未安装软件
前往下载