人教版八年级下册数学课件《16.2 二次的乘除》(含24张PPT)

更新时间:2022-02-15 提供商:网龙网络公司 下载类型:免费下载

文件大小:0.46 MB 分辨率:960*540 文件类型:PPTX

标签: 网龙、 优选、 课件、 正规教育、 下册、 高效备授课、 文档、 K12、 初中、 ZYK、 素材类型、 八年级、 人民教育出版社(人教版)、 ZYKB、 数学

一键领取课件

课件介绍

这是一套关于《人教版八年级下册数学课件《16.2 二次的乘除》(含24张PPT)》的素材,格式为PPTX,文件大小为0.46 MB,页数为24页,请使用101教育PPT软件打开使用;

< 二次根式的乘除

知识回顾

<. 二次根式定义:形如 的式子叫做二次根式2. 二次根式性质:3.二次根式乘法:4.二次根式除法:

知识回顾

计算:

知识回顾

化简:

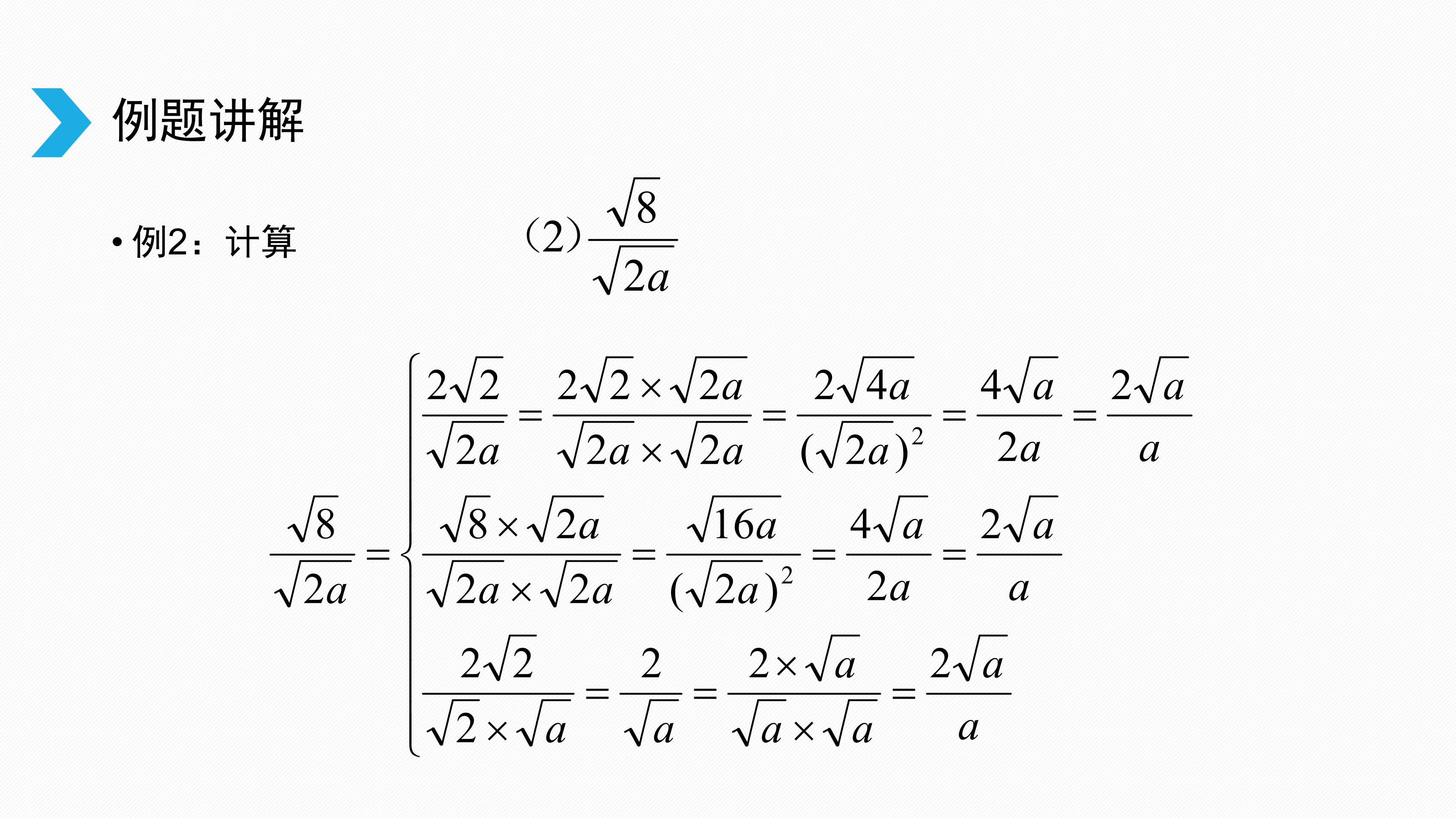
例题讲解

例1:计算

例题讲解

如认为平台内容涉嫌侵权,可通过邮件:101ppt@101.com 提出书面通知,我们将及时处理。

相关资源推荐

找名师

产品下载

注冊
无法打开
您还未安装软件
前往下载