8年级数学北师大版下册课件第5章《分式的乘除法》01

更新时间:2023-03-29 提供商:网龙网络公司 下载类型:免费下载

文件大小:0.77 MB 分辨率:960*540 文件类型:PPTX

标签: 网龙、 优选、 课件、 正规教育、 下册、 高效备授课、 文档、 K12、 初中、 ZYK、 北京师范大学出版社(北师大版)、 素材类型、 八年级、 数学

一键领取课件

课件介绍

这是一套关于《8年级数学北师大版下册课件第5章《分式的乘除法》01》的素材,格式为PPTX,文件大小为0.77 MB,页数为22页,请使用101教育PPT软件打开使用;

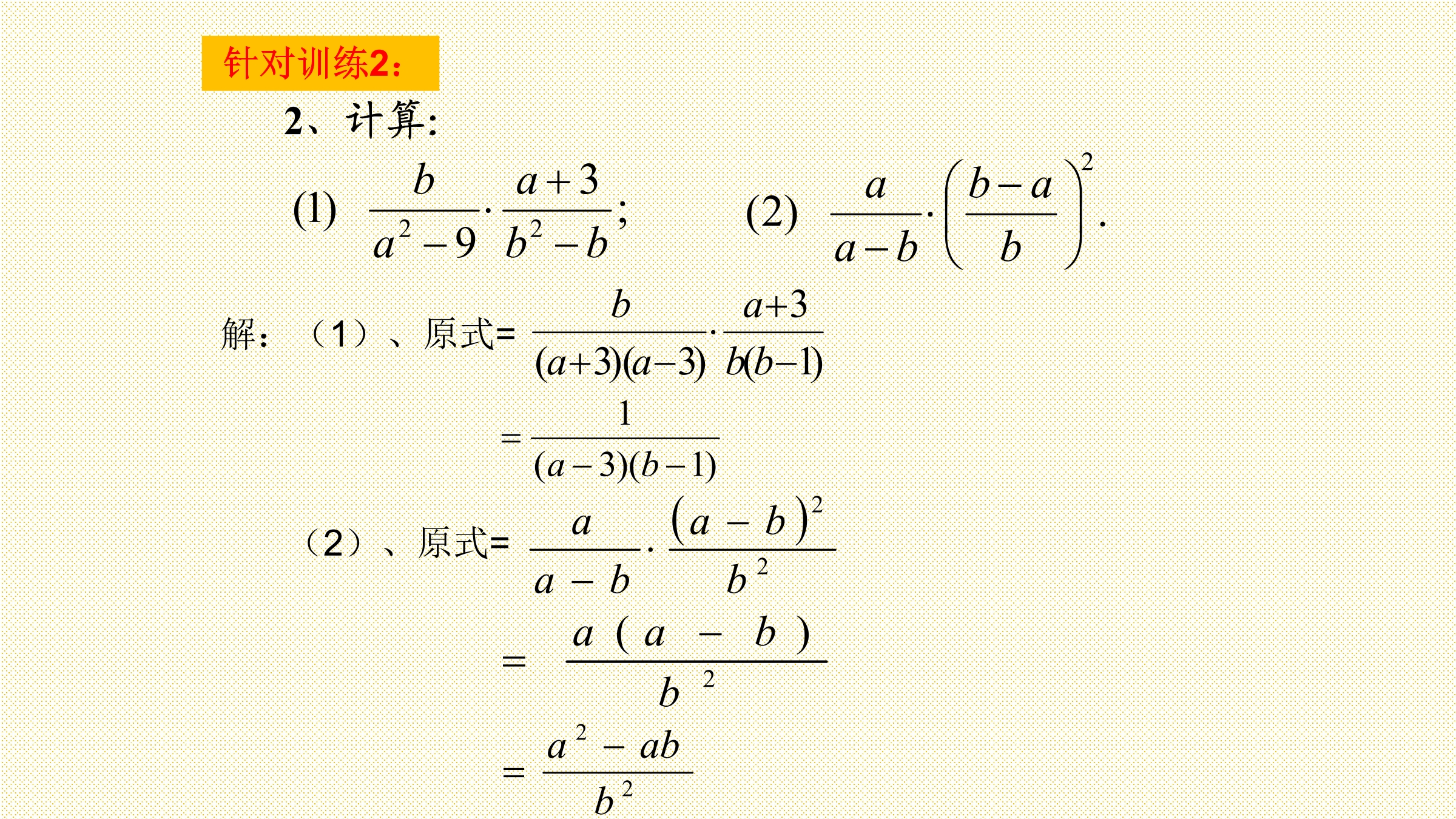
八年级数学·下 新课标[北师]

< 分式的乘除法

第五 章 分式与分式方程

情景引入

<、化简下列各式:

(1)解决上面问题你用到了什么知识?

(2)什么是最简分式?

<、把下列各式分解因式:

(1)、= (2)、 (3)、

<)

如认为平台内容涉嫌侵权,可通过邮件:101ppt@101.com 提出书面通知,我们将及时处理。

相关资源推荐

找名师

产品下载

注冊
无法打开
您还未安装软件
前往下载