更新时间:2021-04-01 提供商:网龙网络公司 下载类型:免费下载
文件大小:2.82 MB 文件类型:PPT
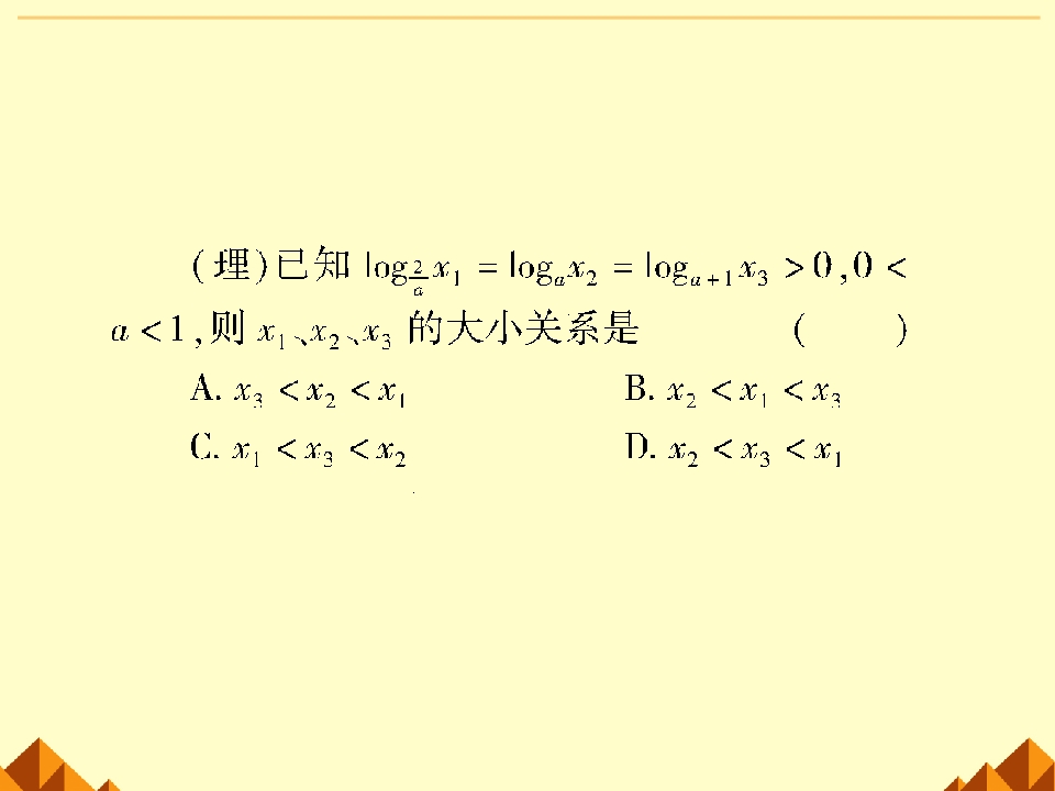
标签: 教学资源、 课件、 1级、 文档、 课件、 教材、 ZYK、 基础学科、 文档、 天利、 素材资源、 高中、 ZYKB、 数学、 学研素材、 正规教育、 必修1、 K12、 教学课件、 微软ppt幻灯片、 素材类型、 上海教育出版社(沪教版)、 知识点资源类型、 人民教育出版社(人教版B版)、 高中一年级第二学期
0 0
【★】5年级数学苏教版下册课件第8单元《单元复习》
【★】4年级数学苏教版下册课件第9单元《单元复习》
【★】3年级数学苏教版下册课件第9单元后《上学时间》
【★】3年级数学苏教版下册课件第9单元《数据的收集和整理(二)》
【★】3年级数学苏教版下册课件第10单元《单元复习》
【★】2年级数学苏教版下册课件第9单元《期末复习》
【★★】7年级数学苏科版下册课件第12单元 《12.3 互逆命题》
【★★】7年级数学苏科版下册课件第12单元 《12.1 定义与命题》
与好友共享丰富的
教育资讯与资源
扫码入群 更多优质资源抢先领!
关注微信公众号获取更多教学技巧
抖音扫码关注解锁课堂黑科技